近日,网赌
朱瑞林课题组在国际物理学顶级期刊Physical Review Letters上发表了题为 “Next-to-Next-to-Leading Order Calculation of Quasiparton Distribution Functions” 的研究成果[Phys. Rev. Lett. 126, 072002(2021)]。

上世纪六十年代在SLAC上进行的带电轻子-核子深度非弹性散射实验发现核子(质子和中子)有内部结构,这些内部点粒子夸克、胶子统称为部分子。部分子分布函数被用来描述这些部分子在核子内部的一维或者多维的分布图像。量子色动力学的色禁闭性使得人们没有办法直接测出部分子的分布函数,传统的做法是通过高能强子散射截面等实验数据来拟合部分子分布函数。近些年发展起来的大动量有效理论,使得量子色动力学第一性原理出发计算部分子分布函数成为了可能,但到目前为止大动量有效理论框架下的匹配仅局限在单圈精度。

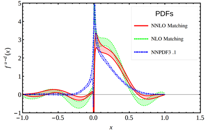
朱瑞林与合作者在两圈水平下计算了夸克的准分布函数,在次次领头阶水平下验证了大动量有效理论的因子化公式,并得到了次次领头阶匹配系数的解析表达式。结合格点量子色动力学的计算,国际首次得到了模型无关的夸克部分子分布函数。这些结果对于第一性原理出发理解核子内部结构特征有重要的科学意义。

论文合作者为广州大学的陈龙斌副教授和上海交通大学的王伟教授。陈龙斌副教授为论文的第一作者,朱瑞林副教授和王伟教授为论文的共同通讯作者。
作者感谢国家自然科学基金、国家留学基金委、江苏省自然科学基金、江苏省青蓝工程优秀青年骨干教师计划、南京师范大学“青年拔尖人才”计划、美国能源部项目等支持,项目数值计算依托上海交通大学高性能计算中心的Pi2.0超算平台。
论文链接:
//journals.aps.org/prl/abstract/10.1103/PhysRevLett.126.072002